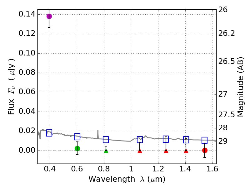
RXS0603+42-N IR detection object #1684

Color images and BPZ results
Catalog: 1684.cat
Black segments are analyzed here.   Roll mouse over color images to view segments.
Best viewed in a wide browser window (1200 pixels or more).   Download SED & P(z) plots to view larger versions.
In P(z) plots: Yellow lines mark the cluster redshift z = 0.228,  

Object #1684   x,y = (3168, 3079)   RA, Dec = (06:03:10.536, 42:16:22.44) = (90.79390, 42.27290)   BPZ = 1.700 [0.905--2.420]   type = 11.00 (SB11_A_0_l)   stellarity = 0.69   chisq2 = 29.14   ODDS = 0.35   z_cluster = 0.228