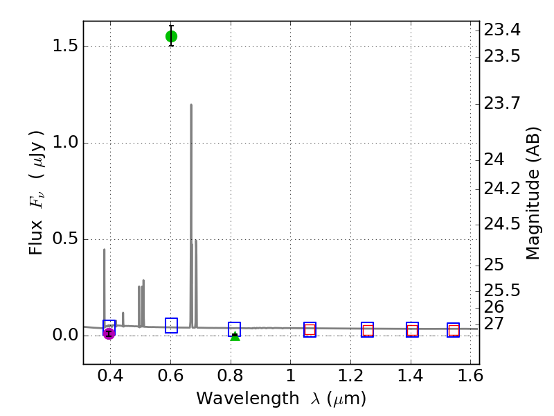
RXS0603+42-N IR detection object #1631

Color images and BPZ results
Catalog: 1631.cat
Black segments are analyzed here.   Roll mouse over color images to view segments.
Best viewed in a wide browser window (1200 pixels or more).   Download SED & P(z) plots to view larger versions.
In P(z) plots: Yellow lines mark the cluster redshift z = 0.228,  

Object #1631   x,y = (4053, 3034)   RA, Dec = (06:03:05.760, 42:16:19.56) = (90.77400, 42.27210)   BPZ = 0.025 [0.011--2.923]   type = 11.00 (SB11_A_0_l)   stellarity = 0.77   chisq2 = 892.40   ODDS = 0.72   z_cluster = 0.228