RXS0603+42-N IR detection object #1625

Color images and BPZ results
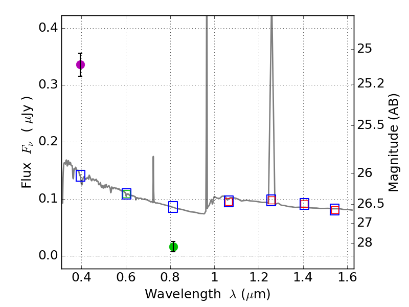
Catalog: 1625.cat
Black segments are analyzed here.   Roll mouse over color images to view segments.
Best viewed in a wide browser window (1200 pixels or more).   Download SED & P(z) plots to view larger versions.
In P(z) plots: Yellow lines mark the cluster redshift z = 0.228,  

Object #1625   x,y = (4216, 3035)   RA, Dec = (06:03:04.872, 42:16:19.92) = (90.77030, 42.27220)   BPZ = 1.594 [1.432--1.877]   type = 11.00 (SB11_A_0_l)   stellarity = 0.96   chisq2 = 104.40   ODDS = 0.65   z_cluster = 0.228