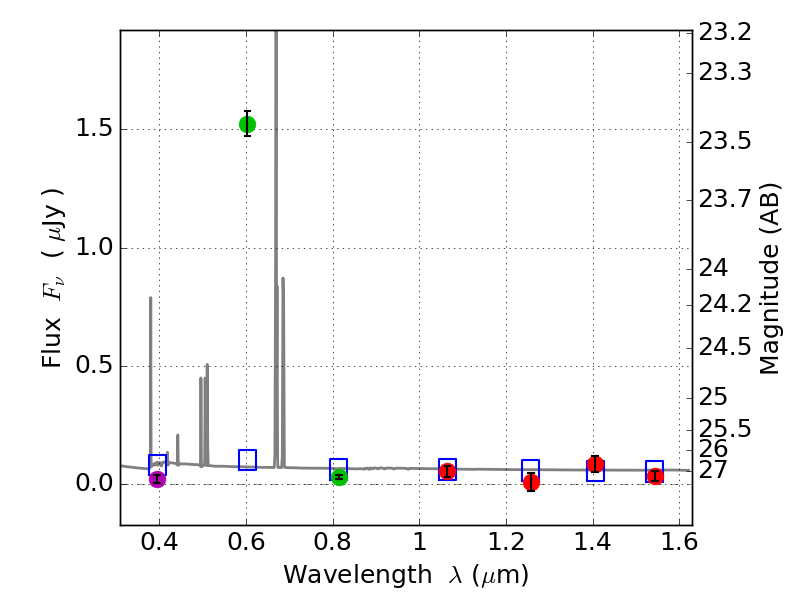
RXS0603+42-N IR detection object #1614

Color images and BPZ results
Catalog: 1614.cat
Black segments are analyzed here.   Roll mouse over color images to view segments.
Best viewed in a wide browser window (1200 pixels or more).   Download SED & P(z) plots to view larger versions.
In P(z) plots: Yellow lines mark the cluster redshift z = 0.228,  

Object #1614   x,y = (3796, 3142)   RA, Dec = (06:03:07.152, 42:16:26.40) = (90.77980, 42.27400)   BPZ = 0.022 [0.010--0.056]   type = 11.00 (SB11_A_0_l)   stellarity = 0.98   chisq2 = 189.90   ODDS = 0.98   z_cluster = 0.228