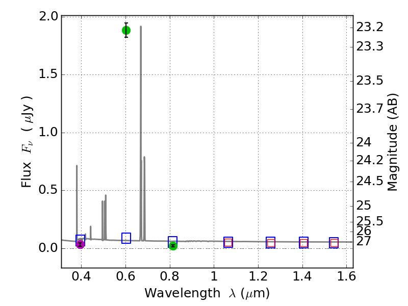
RXS0603+42-N IR detection object #1466

Color images and BPZ results
Catalog: 1466.cat
Black segments are analyzed here.   Roll mouse over color images to view segments.
Best viewed in a wide browser window (1200 pixels or more).   Download SED & P(z) plots to view larger versions.
In P(z) plots: Yellow lines mark the cluster redshift z = 0.228,  

Object #1466   x,y = (3924, 3106)   RA, Dec = (06:03:06.456, 42:16:24.24) = (90.77690, 42.27340)   BPZ = 0.023 [0.010--2.854]   type = 11.00 (SB11_A_0_l)   stellarity = 0.78   chisq2 = 862.70   ODDS = 0.88   z_cluster = 0.228