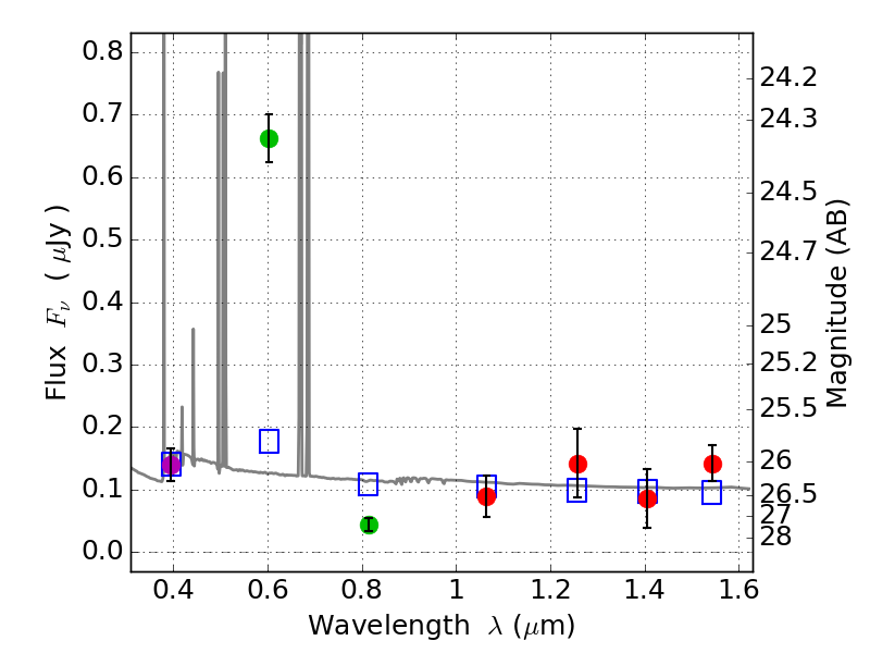
RXS0603+42-N IR detection object #1439

Color images and BPZ results
Catalog: 1439.cat
Black segments are analyzed here.   Roll mouse over color images to view segments.
Best viewed in a wide browser window (1200 pixels or more).   Download SED & P(z) plots to view larger versions.
In P(z) plots: Yellow lines mark the cluster redshift z = 0.228,  

Object #1439   x,y = (3806, 3118)   RA, Dec = (06:03:07.080, 42:16:24.60) = (90.77950, 42.27350)   BPZ = 0.020 [0.010--0.043]   type = 11.00 (SB11_A_0_l)   stellarity = 0.64   chisq2 = 41.19   ODDS = 1.00   z_cluster = 0.228