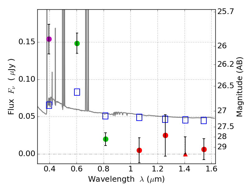
RXS0603+42-N IR detection object #1433

Color images and BPZ results
Catalog: 1433.cat
Black segments are analyzed here.   Roll mouse over color images to view segments.
Best viewed in a wide browser window (1200 pixels or more).   Download SED & P(z) plots to view larger versions.
In P(z) plots: Yellow lines mark the cluster redshift z = 0.228,  

Object #1433   x,y = (3076, 3124)   RA, Dec = (06:03:11.040, 42:16:24.96) = (90.79600, 42.27360)   BPZ = 0.022 [0.010--2.198]   type = 11.00 (SB11_A_0_l)   stellarity = 0.38   chisq2 = 16.34   ODDS = 0.75   z_cluster = 0.228