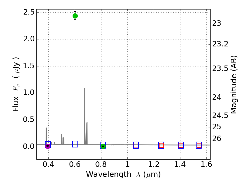
RXS0603+42-N IR detection object #1415

Color images and BPZ results
Catalog: 1415.cat
Black segments are analyzed here.   Roll mouse over color images to view segments.
Best viewed in a wide browser window (1200 pixels or more).   Download SED & P(z) plots to view larger versions.
In P(z) plots: Yellow lines mark the cluster redshift z = 0.228,  

Object #1415   x,y = (3878, 3132)   RA, Dec = (06:03:06.696, 42:16:25.68) = (90.77790, 42.27380)   BPZ = 0.029 [0.032--3.438]   type = 11.00 (SB11_A_0_l)   stellarity = 0.98   chisq2 = 1007.00   ODDS = 0.05   z_cluster = 0.228