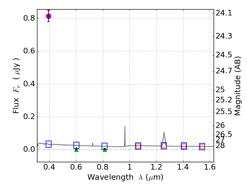
RXS0603+42-N IR detection object #1408

Color images and BPZ results
Catalog: 1408.cat
Black segments are analyzed here.   Roll mouse over color images to view segments.
Best viewed in a wide browser window (1200 pixels or more).   Download SED & P(z) plots to view larger versions.
In P(z) plots: Yellow lines mark the cluster redshift z = 0.228,  

Object #1408   x,y = (2033, 3137)   RA, Dec = (06:03:16.680, 42:16:26.04) = (90.81950, 42.27390)   BPZ = 1.595 [1.102--2.233]   type = 11.00 (SB11_A_0_l)   stellarity = 0.65   chisq2 = 497.90   ODDS = 0.31   z_cluster = 0.228