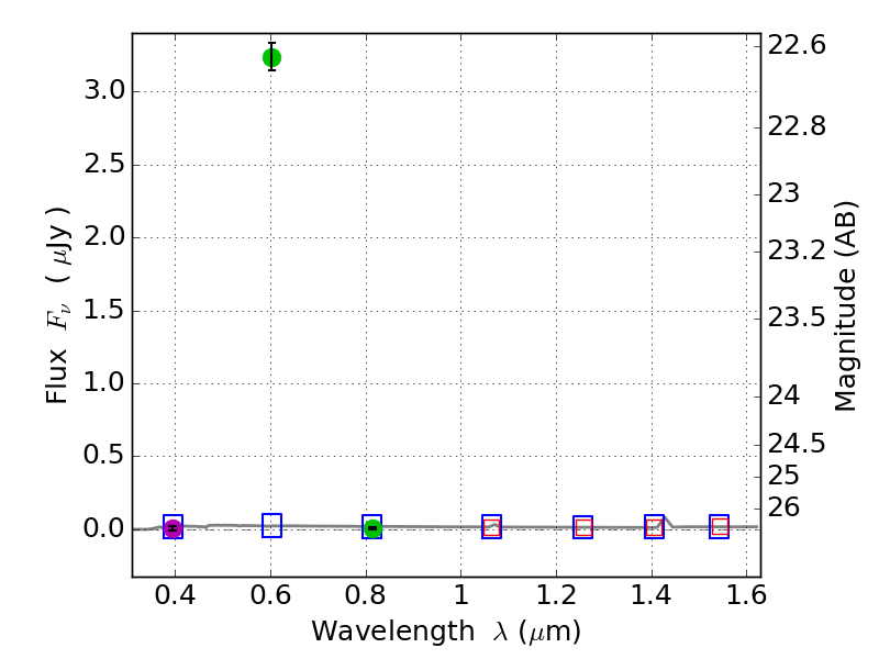
RXS0603+42-N IR detection object #1406

Color images and BPZ results
Catalog: 1406.cat
Black segments are analyzed here.   Roll mouse over color images to view segments.
Best viewed in a wide browser window (1200 pixels or more).   Download SED & P(z) plots to view larger versions.
In P(z) plots: Yellow lines mark the cluster redshift z = 0.228,  

Object #1406   x,y = (3841, 3136)   RA, Dec = (06:03:06.888, 42:16:25.68) = (90.77870, 42.27380)   BPZ = 2.829 [0.275--3.757]   type = 11.00 (SB11_A_0_l)   stellarity = 0.79   chisq2 = 1116.00   ODDS = 0.15   z_cluster = 0.228