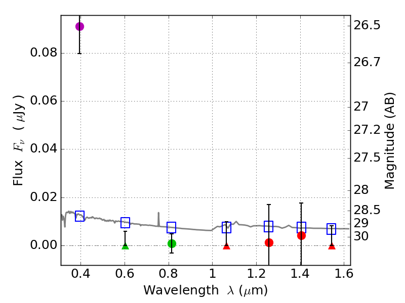
RXS0603+42-N IR detection object #1401

Color images and BPZ results
Catalog: 1401.cat
Black segments are analyzed here.   Roll mouse over color images to view segments.
Best viewed in a wide browser window (1200 pixels or more).   Download SED & P(z) plots to view larger versions.
In P(z) plots: Yellow lines mark the cluster redshift z = 0.228,  

Object #1401   x,y = (3058, 3213)   RA, Dec = (06:03:11.136, 42:16:30.36) = (90.79640, 42.27510)   BPZ = 1.699 [0.446--6.681]   type = 11.00 (SB11_A_0_l)   stellarity = 0.52   chisq2 = 13.39   ODDS = 0.16   z_cluster = 0.228