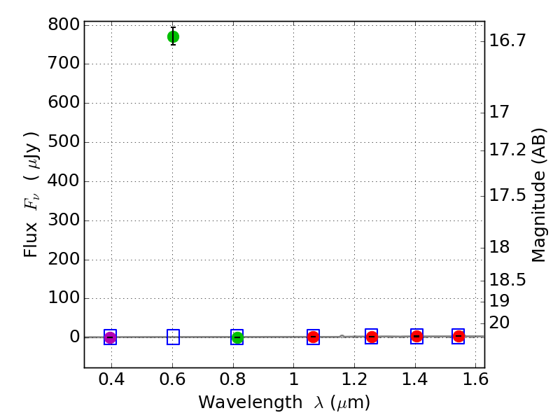
RXS0603+42-N IR detection object #1339

Color images and BPZ results
Catalog: 1339.cat
Black segments are analyzed here.   Roll mouse over color images to view segments.
Best viewed in a wide browser window (1200 pixels or more).   Download SED & P(z) plots to view larger versions.
In P(z) plots: Yellow lines mark the cluster redshift z = 0.228,  

Object #1339   x,y = (2862, 3034)   RA, Dec = (06:03:12.192, 42:16:19.56) = (90.80080, 42.27210)   BPZ = 2.110 [2.001--2.171]   type = 9.20 (SB2_B10 - SB3_B10)   stellarity = 1.00   chisq2 = 288.90   ODDS = 0.99   z_cluster = 0.228