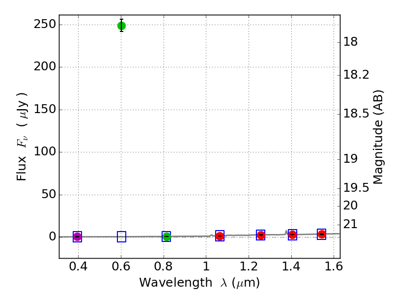
RXS0603+42-N IR detection object #1310

Color images and BPZ results
Catalog: 1310.cat
Black segments are analyzed here.   Roll mouse over color images to view segments.
Best viewed in a wide browser window (1200 pixels or more).   Download SED & P(z) plots to view larger versions.
In P(z) plots: Yellow lines mark the cluster redshift z = 0.228,  

Object #1310   x,y = (2890, 3088)   RA, Dec = (06:03:12.048, 42:16:23.16) = (90.80020, 42.27310)   BPZ = 1.755 [1.673--1.817]   type = 6.80 (Scd_B10 - Sbc_B10)   stellarity = 0.99   chisq2 = 286.60   ODDS = 0.99   z_cluster = 0.228