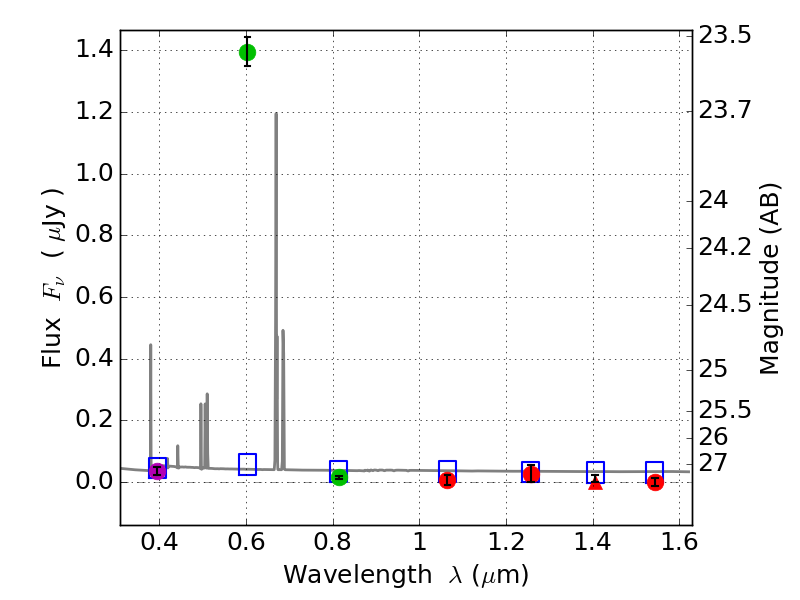
RXS0603+42-N IR detection object #1307

Color images and BPZ results
Catalog: 1307.cat
Black segments are analyzed here.   Roll mouse over color images to view segments.
Best viewed in a wide browser window (1200 pixels or more).   Download SED & P(z) plots to view larger versions.
In P(z) plots: Yellow lines mark the cluster redshift z = 0.228,  

Object #1307   x,y = (3756, 3178)   RA, Dec = (06:03:07.368, 42:16:28.20) = (90.78070, 42.27450)   BPZ = 0.023 [0.010--2.701]   type = 11.00 (SB11_A_0_l)   stellarity = 0.69   chisq2 = 218.30   ODDS = 0.90   z_cluster = 0.228