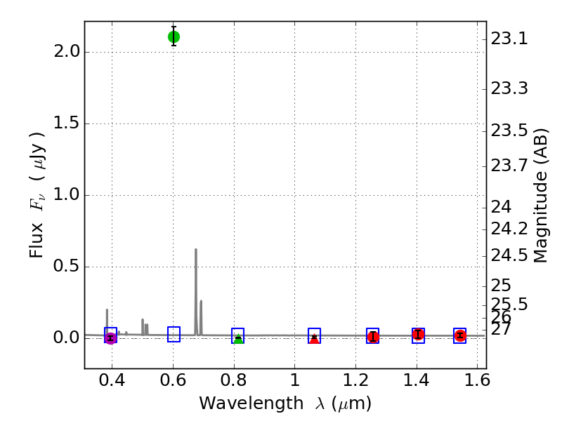
RXS0603+42-N IR detection object #1296

Color images and BPZ results
Catalog: 1296.cat
Black segments are analyzed here.   Roll mouse over color images to view segments.
Best viewed in a wide browser window (1200 pixels or more).   Download SED & P(z) plots to view larger versions.
In P(z) plots: Yellow lines mark the cluster redshift z = 0.228,  

Object #1296   x,y = (3770, 3183)   RA, Dec = (06:03:07.296, 42:16:28.56) = (90.78040, 42.27460)   BPZ = 0.033 [0.026--3.101]   type = 11.00 (SB11_A_0_l)   stellarity = 0.68   chisq2 = 255.70   ODDS = 0.08   z_cluster = 0.228