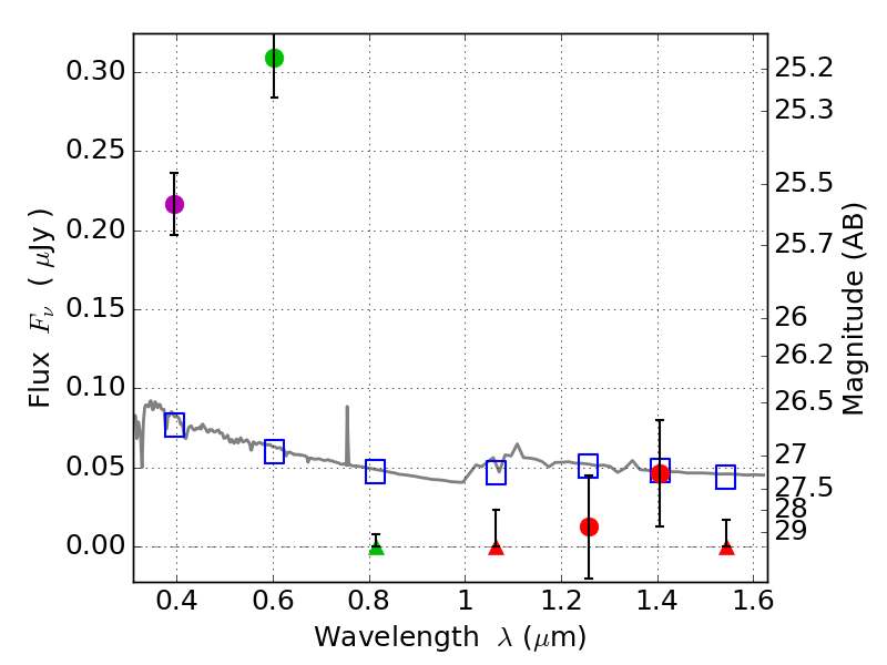
RXS0603+42-N IR detection object #1277

Color images and BPZ results
Catalog: 1277.cat
Black segments are analyzed here.   Roll mouse over color images to view segments.
Best viewed in a wide browser window (1200 pixels or more).   Download SED & P(z) plots to view larger versions.
In P(z) plots: Yellow lines mark the cluster redshift z = 0.228,  

Object #1277   x,y = (3722, 3180)   RA, Dec = (06:03:07.536, 42:16:28.56) = (90.78140, 42.27460)   BPZ = 1.698 [0.025--2.062]   type = 11.00 (SB11_A_0_l)   stellarity = 0.61   chisq2 = 44.73   ODDS = 0.62   z_cluster = 0.228