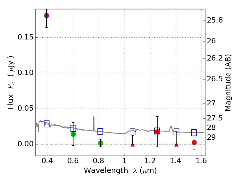
RXS0603+42-N IR detection object #1265

Color images and BPZ results
Catalog: 1265.cat
Black segments are analyzed here.   Roll mouse over color images to view segments.
Best viewed in a wide browser window (1200 pixels or more).   Download SED & P(z) plots to view larger versions.
In P(z) plots: Yellow lines mark the cluster redshift z = 0.228,  

Object #1265   x,y = (3708, 3192)   RA, Dec = (06:03:07.632, 42:16:29.28) = (90.78180, 42.27480)   BPZ = 1.731 [1.034--2.386]   type = 11.00 (SB11_A_0_l)   stellarity = 0.56   chisq2 = 23.27   ODDS = 0.39   z_cluster = 0.228