RXS0603+42-N IR detection object #1126

Color images and BPZ results
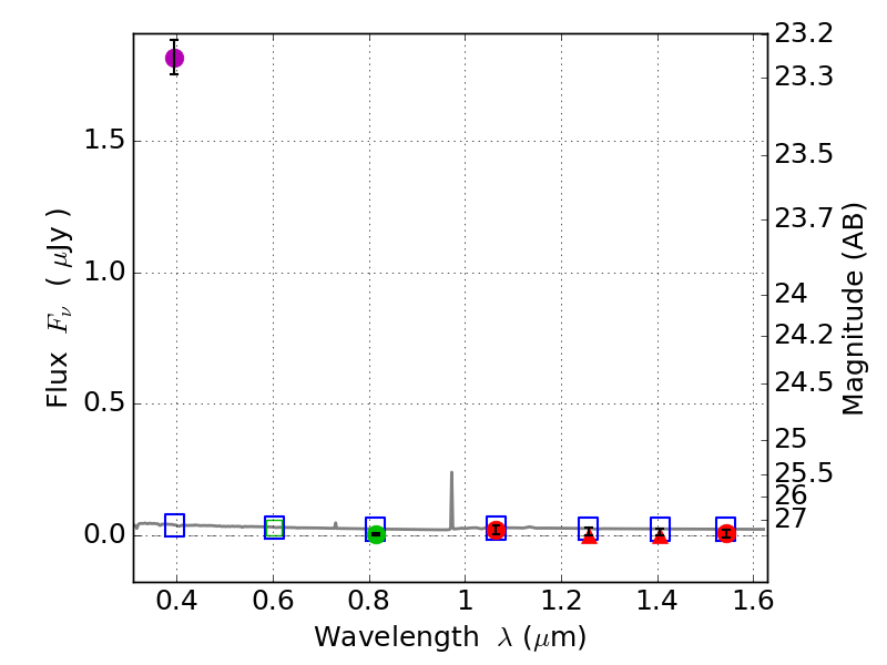
Catalog: 1126.cat
Black segments are analyzed here.   Roll mouse over color images to view segments.
Best viewed in a wide browser window (1200 pixels or more).   Download SED & P(z) plots to view larger versions.
In P(z) plots: Yellow lines mark the cluster redshift z = 0.228,  

Object #1126   x,y = (3761, 3262)   RA, Dec = (06:03:07.344, 42:16:33.60) = (90.78060, 42.27600)   BPZ = 1.612 [1.015--2.374]   type = 11.00 (SB11_A_0_l)   stellarity = 1.00   chisq2 = 255.10   ODDS = 0.33   z_cluster = 0.228