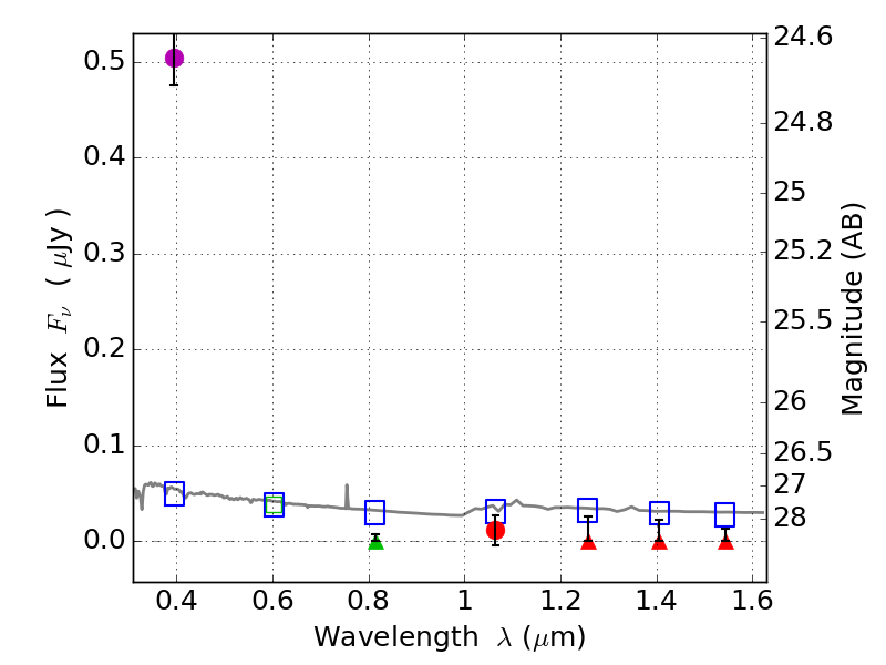
RXS0603+42-N IR detection object #1046

Color images and BPZ results
Catalog: 1046.cat
Black segments are analyzed here.   Roll mouse over color images to view segments.
Best viewed in a wide browser window (1200 pixels or more).   Download SED & P(z) plots to view larger versions.
In P(z) plots: Yellow lines mark the cluster redshift z = 0.228,  

Object #1046   x,y = (3574, 3305)   RA, Dec = (06:03:08.352, 42:16:36.12) = (90.78480, 42.27670)   BPZ = 1.701 [1.373--2.161]   type = 11.00 (SB11_A_0_l)   stellarity = 0.76   chisq2 = 89.41   ODDS = 0.56   z_cluster = 0.228