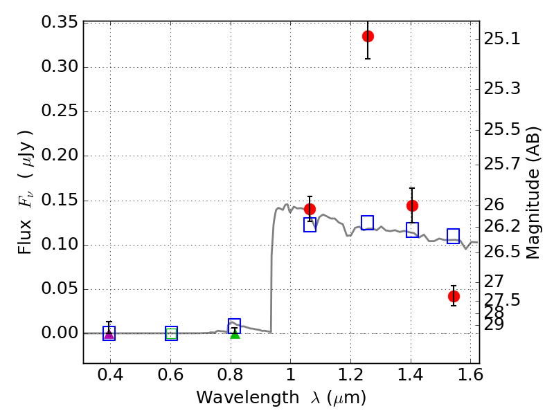
RXS0603+42-N IR detection object #1039

Color images and BPZ results
Catalog: 1039.cat
Black segments are analyzed here.   Roll mouse over color images to view segments.
Best viewed in a wide browser window (1200 pixels or more).   Download SED & P(z) plots to view larger versions.
In P(z) plots: Yellow lines mark the cluster redshift z = 0.228,  

Object #1039   x,y = (3539, 3309)   RA, Dec = (06:03:08.544, 42:16:36.12) = (90.78560, 42.27670)   BPZ = 6.714 [6.515--7.049]   type = 11.00 (SB11_A_0_l)   stellarity = 0.36   chisq2 = 28.63   ODDS = 0.96   z_cluster = 0.228