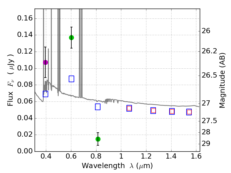
RXS0603+42-N IR detection object #1010

Color images and BPZ results
Catalog: 1010.cat
Black segments are analyzed here.   Roll mouse over color images to view segments.
Best viewed in a wide browser window (1200 pixels or more).   Download SED & P(z) plots to view larger versions.
In P(z) plots: Yellow lines mark the cluster redshift z = 0.228,  

Object #1010   x,y = (3240, 3303)   RA, Dec = (06:03:10.152, 42:16:35.76) = (90.79230, 42.27660)   BPZ = 0.022 [0.012--2.225]   type = 11.00 (SB11_A_0_l)   stellarity = 0.08   chisq2 = 32.95   ODDS = 0.35   z_cluster = 0.228