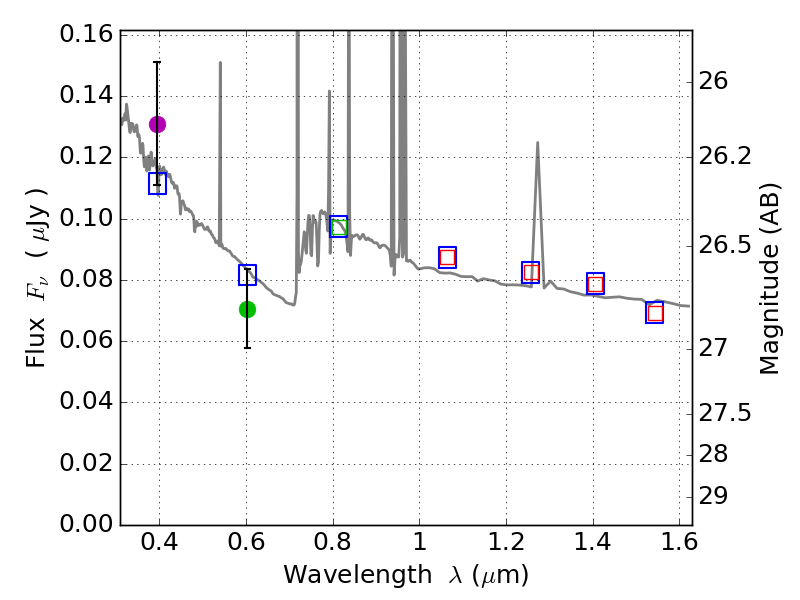
RXS0603+42-N ACS+IR detection object #9109

Color images and BPZ results
Catalog: 9109.cat
Black segments are analyzed here.   Roll mouse over color images to view segments.
Best viewed in a wide browser window (1200 pixels or more).   Download SED & P(z) plots to view larger versions.
In P(z) plots: Yellow lines mark the cluster redshift z = 0.228,  

Object #9109   x,y = (3055, 837)   RA, Dec = (06:03:11.160, 42:14:07.80) = (90.79650, 42.23550)   BPZ = 0.931 [0.613--2.273]   type = 11.00 (SB11_A_0_l)   stellarity = 0.19   chisq2 = 1.39   ODDS = 0.13   z_cluster = 0.228