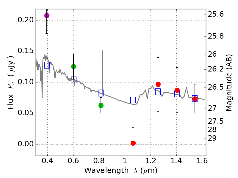
RXS0603+42-N ACS+IR detection object #8334

Color images and BPZ results
Catalog: 8334.cat
Black segments are analyzed here.   Roll mouse over color images to view segments.
Best viewed in a wide browser window (1200 pixels or more).   Download SED & P(z) plots to view larger versions.
In P(z) plots: Yellow lines mark the cluster redshift z = 0.228,  

Object #8334   x,y = (1954, 1658)   RA, Dec = (06:03:17.088, 42:14:57.12) = (90.82120, 42.24920)   BPZ = 1.962 [1.548--2.399]   type = 11.00 (SB11_A_0_l)   stellarity = 0.08   chisq2 = 4.09   ODDS = 0.38   z_cluster = 0.228