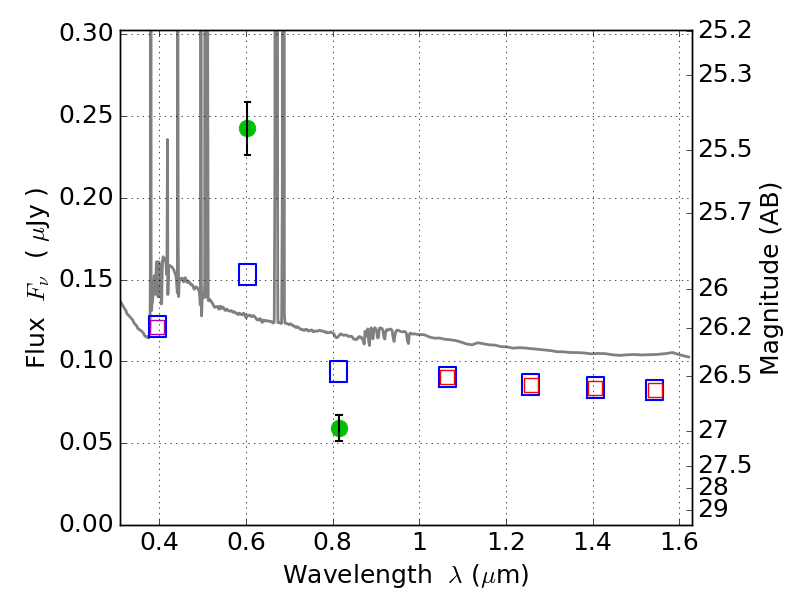
RXS0603+42-N ACS+IR detection object #7944

Color images and BPZ results
Catalog: 7944.cat
Black segments are analyzed here.   Roll mouse over color images to view segments.
Best viewed in a wide browser window (1200 pixels or more).   Download SED & P(z) plots to view larger versions.
In P(z) plots: Yellow lines mark the cluster redshift z = 0.228,  

Object #7944   x,y = (1448, 1208)   RA, Dec = (06:03:19.824, 42:14:30.12) = (90.83260, 42.24170)   BPZ = 0.020 [0.010--0.044]   type = 11.00 (SB11_A_0_l)   stellarity = 0.77   chisq2 = 28.67   ODDS = 1.00   z_cluster = 0.228