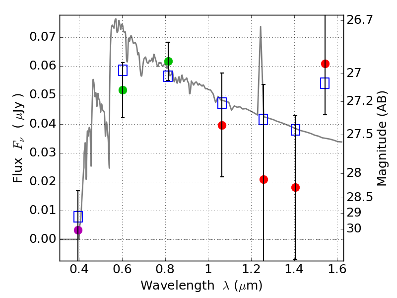
RXS0603+42-N ACS+IR detection object #7510

Color images and BPZ results
Catalog: 7510.cat
Black segments are analyzed here.   Roll mouse over color images to view segments.
Best viewed in a wide browser window (1200 pixels or more).   Download SED & P(z) plots to view larger versions.
In P(z) plots: Yellow lines mark the cluster redshift z = 0.228,  

Object #7510   x,y = (1789, 1376)   RA, Dec = (06:03:18.000, 42:14:40.20) = (90.82500, 42.24450)   BPZ = 3.453 [0.210--4.192]   type = 11.00 (SB11_A_0_l)   stellarity = 0.02   chisq2 = 0.58   ODDS = 0.38   z_cluster = 0.228