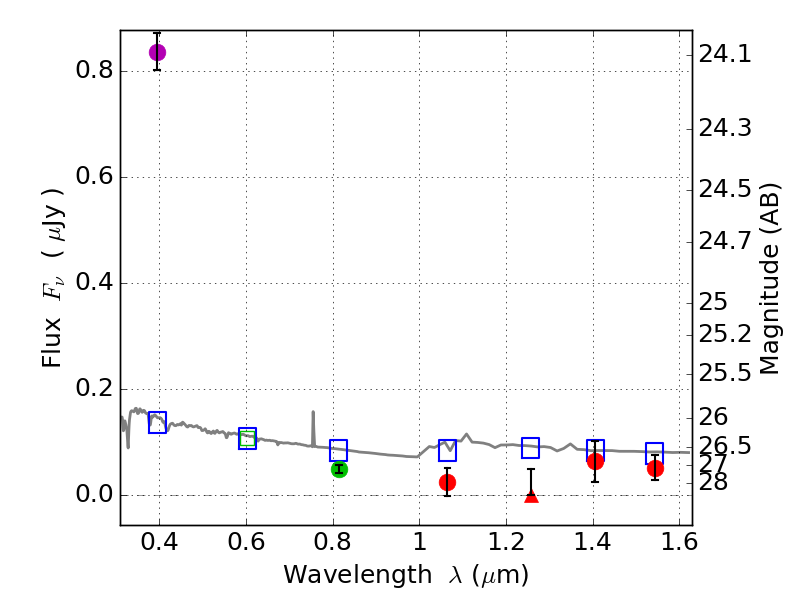
RXS0603+42-N ACS+IR detection object #7014

Color images and BPZ results
Catalog: 7014.cat
Black segments are analyzed here.   Roll mouse over color images to view segments.
Best viewed in a wide browser window (1200 pixels or more).   Download SED & P(z) plots to view larger versions.
In P(z) plots: Yellow lines mark the cluster redshift z = 0.228,  

Object #7014   x,y = (4137, 1561)   RA, Dec = (06:03:05.304, 42:14:51.36) = (90.77210, 42.24760)   BPZ = 1.699 [1.567--1.924]   type = 11.00 (SB11_A_0_l)   stellarity = 0.95   chisq2 = 128.80   ODDS = 0.76   z_cluster = 0.228