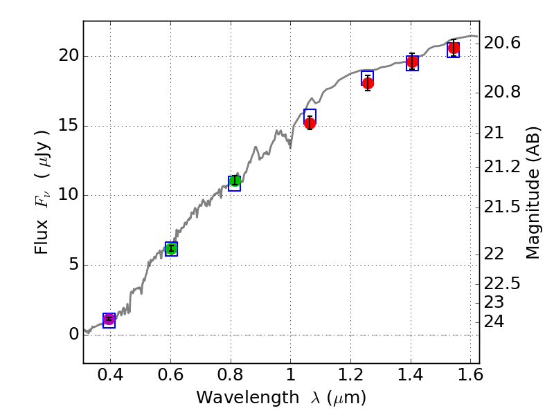
RXS0603+42-N ACS+IR detection object #5348

Color images and BPZ results
Catalog: 5348.cat
Black segments are analyzed here.   Roll mouse over color images to view segments.
Best viewed in a wide browser window (1200 pixels or more).   Download SED & P(z) plots to view larger versions.
In P(z) plots: Yellow lines mark the cluster redshift z = 0.228,  

Object #5348   x,y = (1717, 2137)   RA, Dec = (06:03:18.384, 42:15:25.92) = (90.82660, 42.25720)   BPZ = 0.166 [0.085--0.205]   type = 4.10 (Ell4_A_0 - ES0_B10)   stellarity = 0.03   chisq2 = 0.05   ODDS = 0.85   z_cluster = 0.228