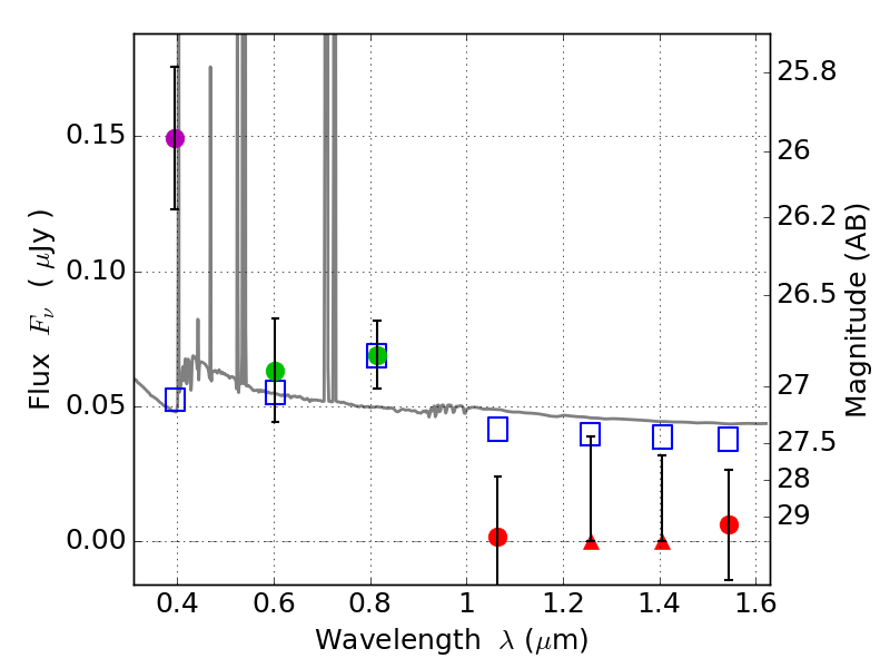
RXS0603+42-N ACS+IR detection object #5066

Color images and BPZ results
Catalog: 5066.cat
Black segments are analyzed here.   Roll mouse over color images to view segments.
Best viewed in a wide browser window (1200 pixels or more).   Download SED & P(z) plots to view larger versions.
In P(z) plots: Yellow lines mark the cluster redshift z = 0.228,  

Object #5066   x,y = (2422, 2251)   RA, Dec = (06:03:14.568, 42:15:32.76) = (90.81070, 42.25910)   BPZ = 0.083 [0.066--2.634]   type = 11.00 (SB11_A_0_l)   stellarity = 0.08   chisq2 = 5.25   ODDS = 0.08   z_cluster = 0.228