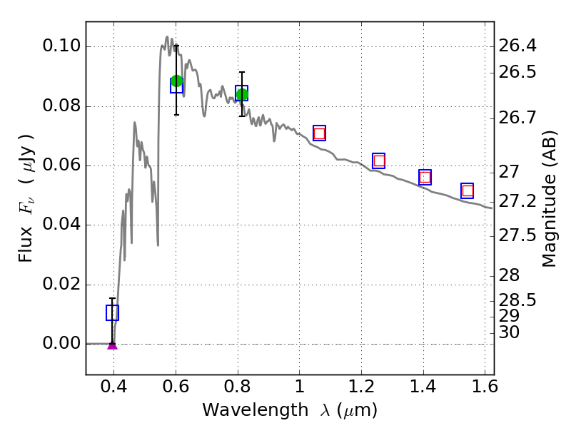
RXS0603+42-N ACS+IR detection object #4757

Color images and BPZ results
Catalog: 4757.cat
Black segments are analyzed here.   Roll mouse over color images to view segments.
Best viewed in a wide browser window (1200 pixels or more).   Download SED & P(z) plots to view larger versions.
In P(z) plots: Yellow lines mark the cluster redshift z = 0.228,  

Object #4757   x,y = (4092, 2355)   RA, Dec = (06:03:05.544, 42:15:38.88) = (90.77310, 42.26080)   BPZ = 3.475 [0.320--3.929]   type = 11.00 (SB11_A_0_l)   stellarity = 0.43   chisq2 = 0.43   ODDS = 0.43   z_cluster = 0.228