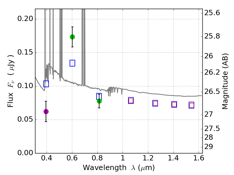
RXS0603+42-N ACS+IR detection object #3629

Color images and BPZ results
Catalog: 3629.cat
Black segments are analyzed here.   Roll mouse over color images to view segments.
Best viewed in a wide browser window (1200 pixels or more).   Download SED & P(z) plots to view larger versions.
In P(z) plots: Yellow lines mark the cluster redshift z = 0.228,  

Object #3629   x,y = (4254, 2863)   RA, Dec = (06:03:04.656, 42:16:09.48) = (90.76940, 42.26930)   BPZ = 0.037 [0.022--3.115]   type = 11.00 (SB11_A_0_l)   stellarity = 0.64   chisq2 = 10.79   ODDS = 0.12   z_cluster = 0.228