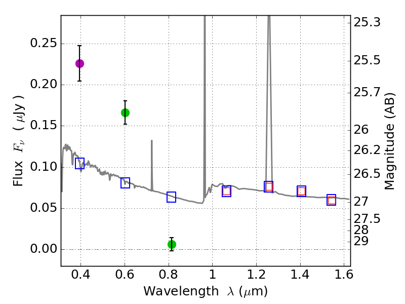
RXS0603+42-N ACS+IR detection object #3241

Color images and BPZ results
Catalog: 3241.cat
Black segments are analyzed here.   Roll mouse over color images to view segments.
Best viewed in a wide browser window (1200 pixels or more).   Download SED & P(z) plots to view larger versions.
In P(z) plots: Yellow lines mark the cluster redshift z = 0.228,  

Object #3241   x,y = (4028, 2872)   RA, Dec = (06:03:05.880, 42:16:09.84) = (90.77450, 42.26940)   BPZ = 1.595 [1.368--2.002]   type = 11.00 (SB11_A_0_l)   stellarity = 0.72   chisq2 = 87.42   ODDS = 0.51   z_cluster = 0.228