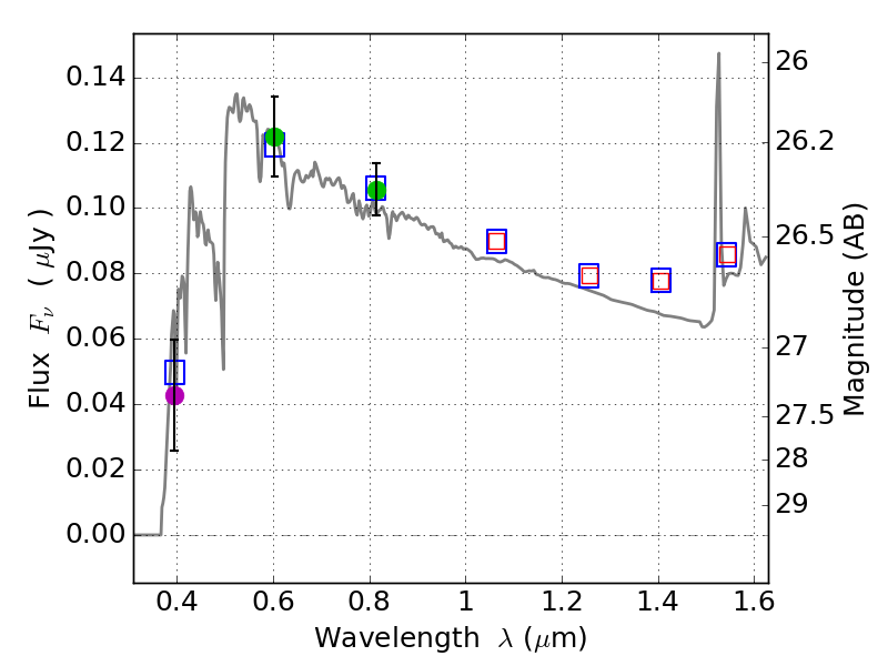
RXS0603+42-N ACS+IR detection object #3072

Color images and BPZ results
Catalog: 3072.cat
Black segments are analyzed here.   Roll mouse over color images to view segments.
Best viewed in a wide browser window (1200 pixels or more).   Download SED & P(z) plots to view larger versions.
In P(z) plots: Yellow lines mark the cluster redshift z = 0.228,  

Object #3072   x,y = (2517, 3224)   RA, Dec = (06:03:14.064, 42:16:31.08) = (90.80860, 42.27530)   BPZ = 3.094 [0.237--3.420]   type = 10.70 (SB11_A_0_l - SB3_B10)   stellarity = 0.70   chisq2 = 0.16   ODDS = 0.41   z_cluster = 0.228