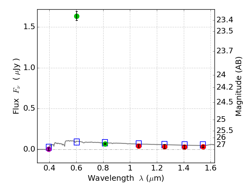
RXS0603+42-N ACS+IR detection object #2598

Color images and BPZ results
Catalog: 2598.cat
Black segments are analyzed here.   Roll mouse over color images to view segments.
Best viewed in a wide browser window (1200 pixels or more).   Download SED & P(z) plots to view larger versions.
In P(z) plots: Yellow lines mark the cluster redshift z = 0.228,  

Object #2598   x,y = (3615, 3228)   RA, Dec = (06:03:08.112, 42:16:31.44) = (90.78380, 42.27540)   BPZ = 3.227 [2.944--3.529]   type = 11.00 (SB11_A_0_l)   stellarity = 0.92   chisq2 = 203.80   ODDS = 0.79   z_cluster = 0.228