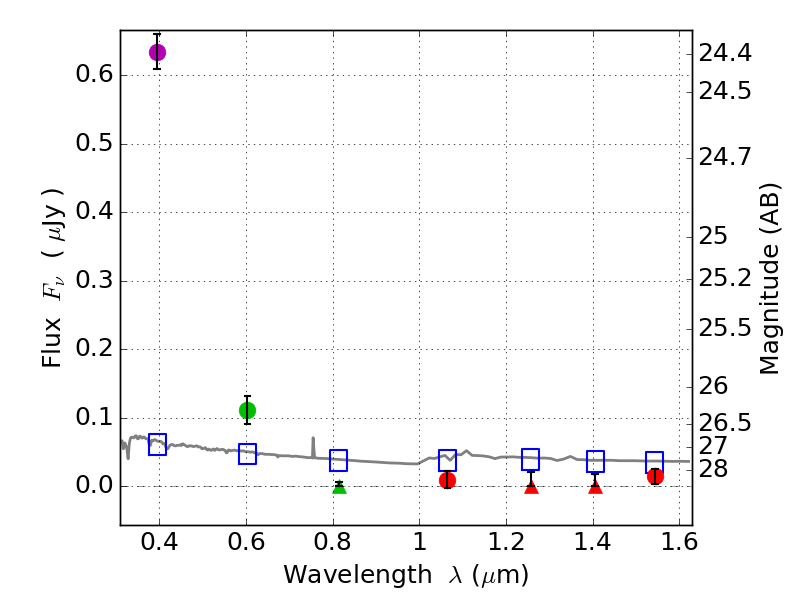
RXS0603+42-N ACS+IR detection object #2196

Color images and BPZ results
Catalog: 2196.cat
Black segments are analyzed here.   Roll mouse over color images to view segments.
Best viewed in a wide browser window (1200 pixels or more).   Download SED & P(z) plots to view larger versions.
In P(z) plots: Yellow lines mark the cluster redshift z = 0.228,  

Object #2196   x,y = (3561, 3259)   RA, Dec = (06:03:08.424, 42:16:33.24) = (90.78510, 42.27590)   BPZ = 1.701 [1.570--2.003]   type = 11.00 (SB11_A_0_l)   stellarity = 0.96   chisq2 = 132.10   ODDS = 0.67   z_cluster = 0.228