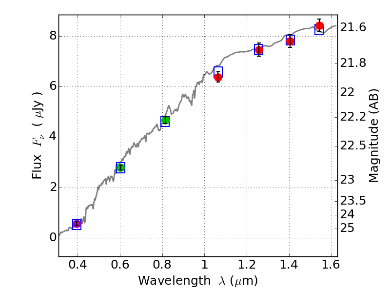
RXS0603+42-N IR detection object #956

Color images and BPZ results
Catalog: 956.cat
Black segments are analyzed here.   Roll mouse over color images to view segments.
Best viewed in a wide browser window (1200 pixels or more).   Download SED & P(z) plots to view larger versions.
In P(z) plots: Yellow lines mark the cluster redshift z = 0.228,  

Object #956   x,y = (2857, 1104)   RA, Dec = (06:03:12.216, 42:14:24.00) = (90.80090, 42.24000)   BPZ = 0.097 [0.043--0.170]   type = 4.10 (Ell4_A_0 - ES0_B10)   stellarity = 0.03   chisq2 = 0.06   ODDS = 0.81   z_cluster = 0.228