RXS0603+42-N IR detection object #881

Color images and BPZ results
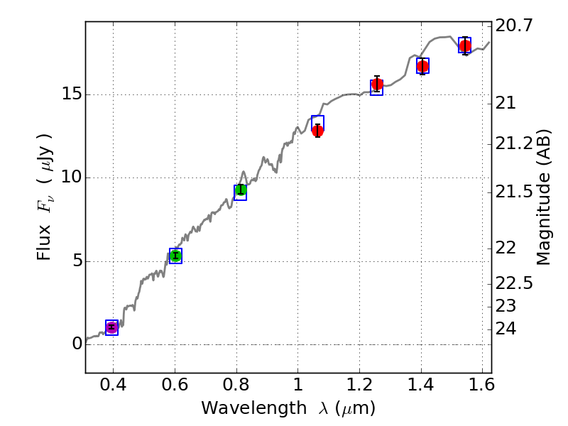
Catalog: 881.cat
Black segments are analyzed here.   Roll mouse over color images to view segments.
Best viewed in a wide browser window (1200 pixels or more).   Download SED & P(z) plots to view larger versions.
In P(z) plots: Yellow lines mark the cluster redshift z = 0.228,  

Object #881   x,y = (2850, 1251)   RA, Dec = (06:03:12.264, 42:14:32.64) = (90.80110, 42.24240)   BPZ = 0.087 [0.042--0.194]   type = 4.40 (Ell4_A_0 - ES0_B10)   stellarity = 0.03   chisq2 = 0.04   ODDS = 0.62   z_cluster = 0.228