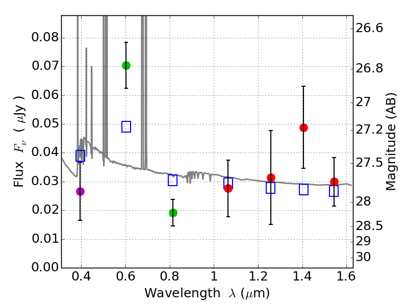
RXS0603+42-N IR detection object #820

Color images and BPZ results
Catalog: 820.cat
Black segments are analyzed here.   Roll mouse over color images to view segments.
Best viewed in a wide browser window (1200 pixels or more).   Download SED & P(z) plots to view larger versions.
In P(z) plots: Yellow lines mark the cluster redshift z = 0.228,  

Object #820   x,y = (3435, 1422)   RA, Dec = (06:03:09.096, 42:14:43.08) = (90.78790, 42.24530)   BPZ = 0.027 [0.019--2.994]   type = 11.00 (SB11_A_0_l)   stellarity = 0.09   chisq2 = 3.46   ODDS = 0.12   z_cluster = 0.228