RXS0603+42-N IR detection object #80

Color images and BPZ results
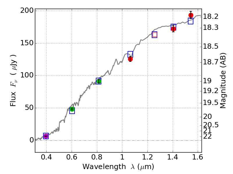
Catalog: 80.cat
Black segments are analyzed here.   Roll mouse over color images to view segments.
Best viewed in a wide browser window (1200 pixels or more).   Download SED & P(z) plots to view larger versions.
In P(z) plots: Yellow lines mark the cluster redshift z = 0.228,  

Object #80   x,y = (3842, 2954)   RA, Dec = (06:03:06.888, 42:16:14.88) = (90.77870, 42.27080)   BPZ = 0.257 [0.199--0.287]   type = 4.10 (Ell4_A_0 - ES0_B10)   stellarity = 0.03   chisq2 = 0.29   ODDS = 0.95   z_cluster = 0.228