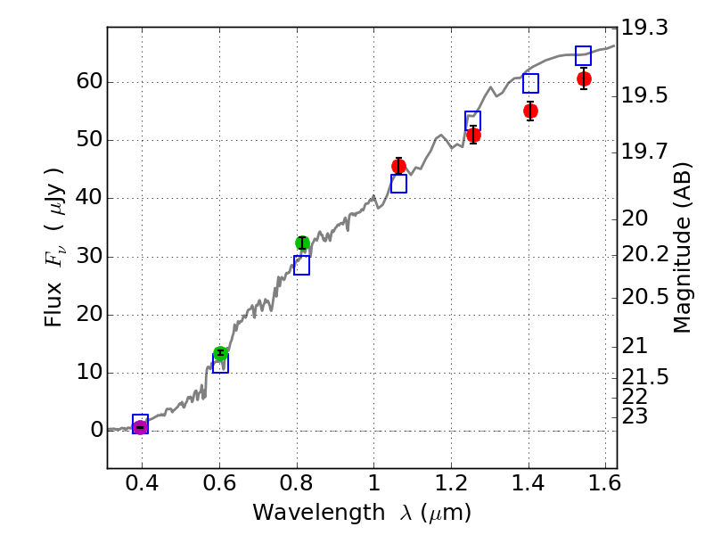
RXS0603+42-N IR detection object #77

Color images and BPZ results
Catalog: 77.cat
Black segments are analyzed here.   Roll mouse over color images to view segments.
Best viewed in a wide browser window (1200 pixels or more).   Download SED & P(z) plots to view larger versions.
In P(z) plots: Yellow lines mark the cluster redshift z = 0.228,  

Object #77   x,y = (3756, 3145)   RA, Dec = (06:03:07.368, 42:16:26.40) = (90.78070, 42.27400)   BPZ = 0.418 [0.388--0.444]   type = 4.00 (Ell4_A_0)   stellarity = 0.43   chisq2 = 0.86   ODDS = 1.00   z_cluster = 0.228