RXS0603+42-N IR detection object #699

Color images and BPZ results
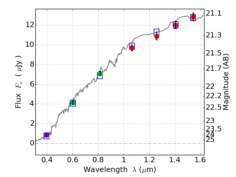
Catalog: 699.cat
Black segments are analyzed here.   Roll mouse over color images to view segments.
Best viewed in a wide browser window (1200 pixels or more).   Download SED & P(z) plots to view larger versions.
In P(z) plots: Yellow lines mark the cluster redshift z = 0.228,  

Object #699   x,y = (2960, 1659)   RA, Dec = (06:03:11.664, 42:14:57.12) = (90.79860, 42.24920)   BPZ = 0.094 [0.041--0.175]   type = 4.20 (Ell4_A_0 - ES0_B10)   stellarity = 0.03   chisq2 = 0.09   ODDS = 0.77   z_cluster = 0.228