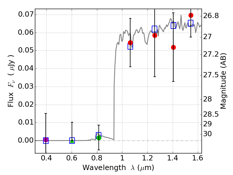
RXS0603+42-N IR detection object #661

Color images and BPZ results
Catalog: 661.cat
Black segments are analyzed here.   Roll mouse over color images to view segments.
Best viewed in a wide browser window (1200 pixels or more).   Download SED & P(z) plots to view larger versions.
In P(z) plots: Yellow lines mark the cluster redshift z = 0.228,  

Object #661   x,y = (2449, 1674)   RA, Dec = (06:03:14.424, 42:14:58.20) = (90.81010, 42.24950)   BPZ = 6.696 [1.203--7.717]   type = 9.30 (SB2_B10 - SB3_B10)   stellarity = 0.00   chisq2 = 0.14   ODDS = 0.45   z_cluster = 0.228