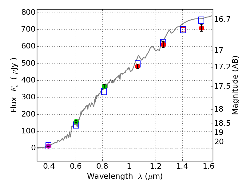
RXS0603+42-N IR detection object #638

Color images and BPZ results
Catalog: 638.cat
Black segments are analyzed here.   Roll mouse over color images to view segments.
Best viewed in a wide browser window (1200 pixels or more).   Download SED & P(z) plots to view larger versions.
In P(z) plots: Yellow lines mark the cluster redshift z = 0.228,  

Object #638   x,y = (3465, 1723)   RA, Dec = (06:03:08.928, 42:15:01.08) = (90.78720, 42.25030)   BPZ = 0.416 [0.381--0.436]   type = 4.00 (Ell4_A_0)   stellarity = 0.84   chisq2 = 0.47   ODDS = 0.99   z_cluster = 0.228