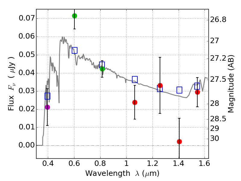
RXS0603+42-N IR detection object #60

Color images and BPZ results
Catalog: 60.cat
Black segments are analyzed here.   Roll mouse over color images to view segments.
Best viewed in a wide browser window (1200 pixels or more).   Download SED & P(z) plots to view larger versions.
In P(z) plots: Yellow lines mark the cluster redshift z = 0.228,  

Object #60   x,y = (3150, 3026)   RA, Dec = (06:03:10.632, 42:16:19.20) = (90.79430, 42.27200)   BPZ = 2.989 [0.036--3.370]   type = 11.00 (SB11_A_0_l)   stellarity = 0.16   chisq2 = 3.08   ODDS = 0.60   z_cluster = 0.228