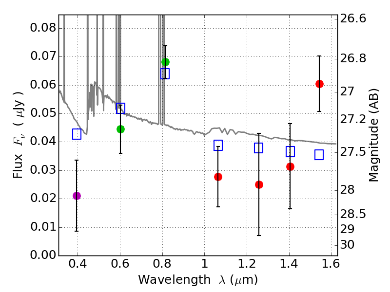
RXS0603+42-N IR detection object #532

Color images and BPZ results
Catalog: 532.cat
Black segments are analyzed here.   Roll mouse over color images to view segments.
Best viewed in a wide browser window (1200 pixels or more).   Download SED & P(z) plots to view larger versions.
In P(z) plots: Yellow lines mark the cluster redshift z = 0.228,  

Object #532   x,y = (2415, 1986)   RA, Dec = (06:03:14.616, 42:15:16.92) = (90.81090, 42.25470)   BPZ = 0.197 [0.108--4.213]   type = 11.00 (SB11_A_0_l)   stellarity = 0.35   chisq2 = 2.65   ODDS = 0.23   z_cluster = 0.228