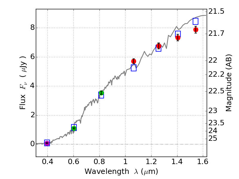
RXS0603+42-N IR detection object #515

Color images and BPZ results
Catalog: 515.cat
Black segments are analyzed here.   Roll mouse over color images to view segments.
Best viewed in a wide browser window (1200 pixels or more).   Download SED & P(z) plots to view larger versions.
In P(z) plots: Yellow lines mark the cluster redshift z = 0.228,  

Object #515   x,y = (2079, 1894)   RA, Dec = (06:03:16.416, 42:15:11.52) = (90.81840, 42.25320)   BPZ = 0.524 [0.479--0.555]   type = 4.00 (Ell4_A_0)   stellarity = 0.18   chisq2 = 0.45   ODDS = 0.99   z_cluster = 0.228