RXS0603+42-N IR detection object #480

Color images and BPZ results
Catalog: 480.cat
Black segments are analyzed here.   Roll mouse over color images to view segments.
Best viewed in a wide browser window (1200 pixels or more).   Download SED & P(z) plots to view larger versions.
In P(z) plots: Yellow lines mark the cluster redshift z = 0.228,  

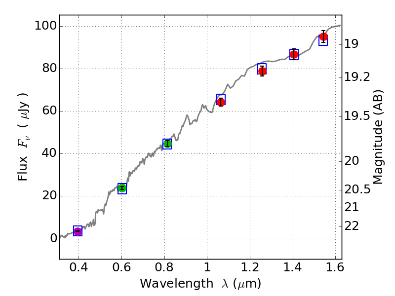
Object #480   x,y = (2472, 2065)   RA, Dec = (06:03:14.304, 42:15:21.60) = (90.80960, 42.25600)   BPZ = 0.201 [0.140--0.256]   type = 4.30 (Ell4_A_0 - ES0_B10)   stellarity = 0.03   chisq2 = 0.03   ODDS = 0.91   z_cluster = 0.228