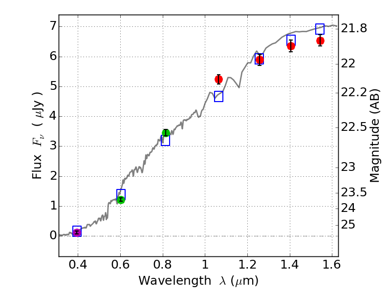
RXS0603+42-N IR detection object #438

Color images and BPZ results
Catalog: 438.cat
Black segments are analyzed here.   Roll mouse over color images to view segments.
Best viewed in a wide browser window (1200 pixels or more).   Download SED & P(z) plots to view larger versions.
In P(z) plots: Yellow lines mark the cluster redshift z = 0.228,  

Object #438   x,y = (2604, 2147)   RA, Dec = (06:03:13.584, 42:15:26.64) = (90.80660, 42.25740)   BPZ = 0.358 [0.269--0.422]   type = 3.60 (Ell4_A_0 - Ell5_A_0)   stellarity = 0.63   chisq2 = 0.63   ODDS = 0.80   z_cluster = 0.228