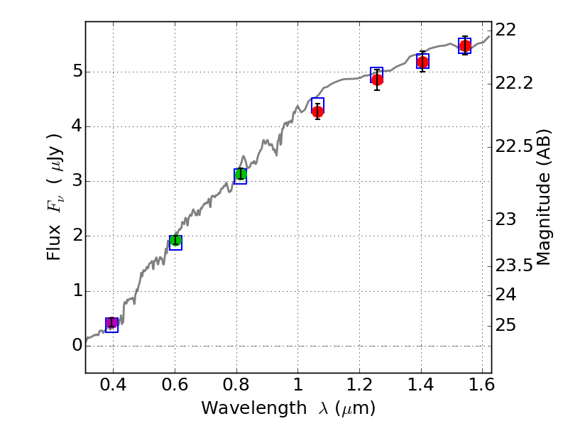
RXS0603+42-N IR detection object #393

Color images and BPZ results
Catalog: 393.cat
Black segments are analyzed here.   Roll mouse over color images to view segments.
Best viewed in a wide browser window (1200 pixels or more).   Download SED & P(z) plots to view larger versions.
In P(z) plots: Yellow lines mark the cluster redshift z = 0.228,  

Object #393   x,y = (3467, 2266)   RA, Dec = (06:03:08.928, 42:15:33.48) = (90.78720, 42.25930)   BPZ = 0.087 [0.042--0.436]   type = 4.10 (Ell4_A_0 - ES0_B10)   stellarity = 0.03   chisq2 = 0.05   ODDS = 0.39   z_cluster = 0.228