RXS0603+42-N IR detection object #388

Color images and BPZ results
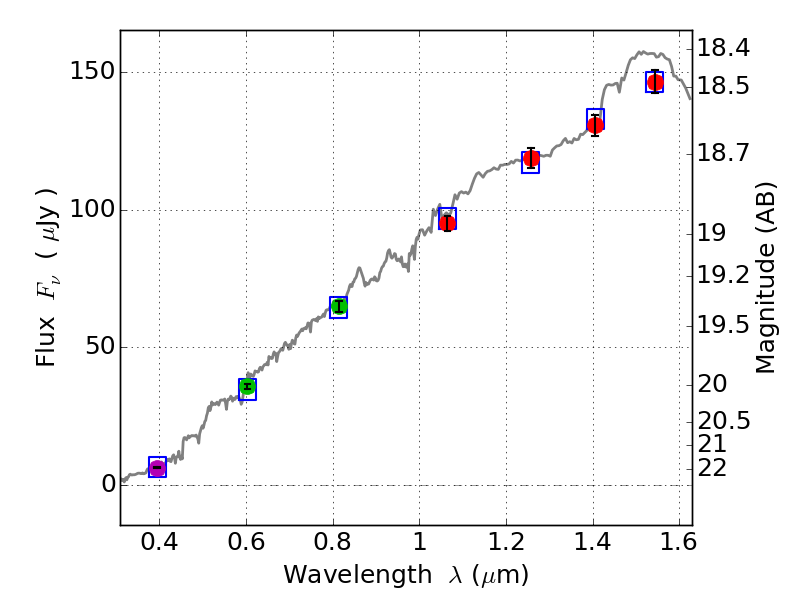
Catalog: 388.cat
Black segments are analyzed here.   Roll mouse over color images to view segments.
Best viewed in a wide browser window (1200 pixels or more).   Download SED & P(z) plots to view larger versions.
In P(z) plots: Yellow lines mark the cluster redshift z = 0.228,  

Object #388   x,y = (2371, 2283)   RA, Dec = (06:03:14.856, 42:15:34.56) = (90.81190, 42.25960)   BPZ = 0.142 [0.099--0.207]   type = 5.30 (ES0_B10 - Sbc_B10)   stellarity = 0.03   chisq2 = 0.03   ODDS = 0.91   z_cluster = 0.228