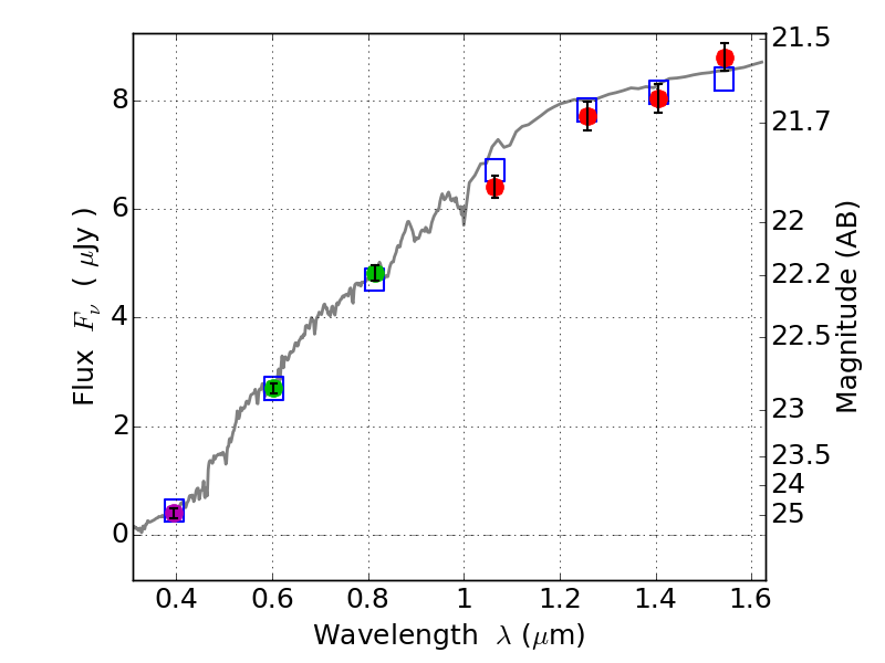
RXS0603+42-N IR detection object #240

Color images and BPZ results
Catalog: 240.cat
Black segments are analyzed here.   Roll mouse over color images to view segments.
Best viewed in a wide browser window (1200 pixels or more).   Download SED & P(z) plots to view larger versions.
In P(z) plots: Yellow lines mark the cluster redshift z = 0.228,  

Object #240   x,y = (3224, 2632)   RA, Dec = (06:03:10.248, 42:15:55.80) = (90.79270, 42.26550)   BPZ = 0.169 [0.087--0.211]   type = 4.00 (Ell4_A_0)   stellarity = 0.03   chisq2 = 0.21   ODDS = 0.85   z_cluster = 0.228